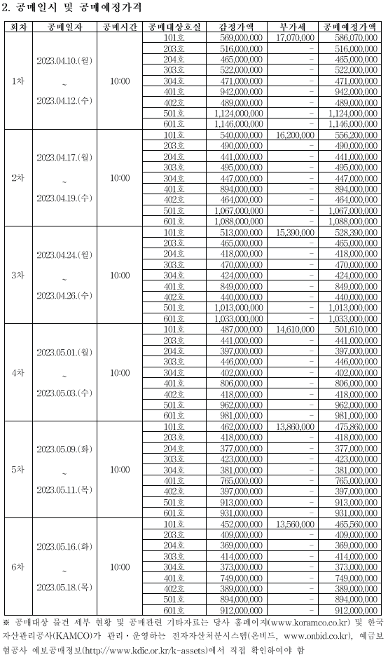
진행중 서울특별시 송파구 오금동 8-2 미자르힐 101호 외 8개호 다세대주택 개별매각

- 공매공고 및 입찰참가자 준수규칙 등을 한국자산관리공사(KAMCO)가 관리ㆍ운영하는 전자자산처분시스템(온비드, www.onbid.co.kr)에서 반드시 확인하여 주시기 바랍니다.
- 공매장소 : 한국자산관리공사(KAMCO)가 관리·운영하는 전자자산처분시스템 (온비드, www.onbid.co.kr)(1588-5321)

​※ 당사는 등기부상 최초 1회에 한하여 소유권 이전등기 업무만을 수행하고 이를 제외한 매매계약과 관련한 매도인으로서의 일체의 의무 및 책임(매매목적물의 모든 법률적·사실적 하자 또는 장애에 대한 매도인으로서의 의무 및 책임, 불법행위책임, 채무불이행책임 및 하자담보책임을 포함하되 이에 한정되지 않음)을 부담하지 않음을 안내드립니다.






목록

KR EN