KR
Date
2024-04-18
Print
Download
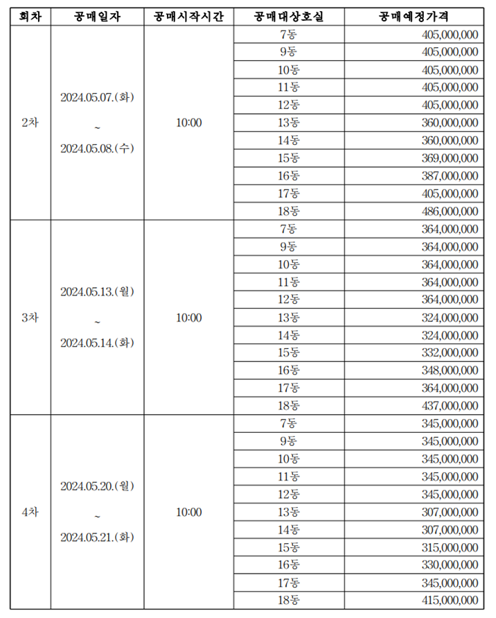
진행중 경기도 고양시 일산동구 성석동 1061-121 외 11세대 공매
이전글
다음글
회사개요
연혁
주요 성과
리더그룹
포트폴리오
리츠
펀드
부동산신탁
리서치 리포트
코람코 뷰
아카이브
ESG하일라이트
Environmental
Social
Governance
뉴스
공시
문의 및 제안
오시는 길